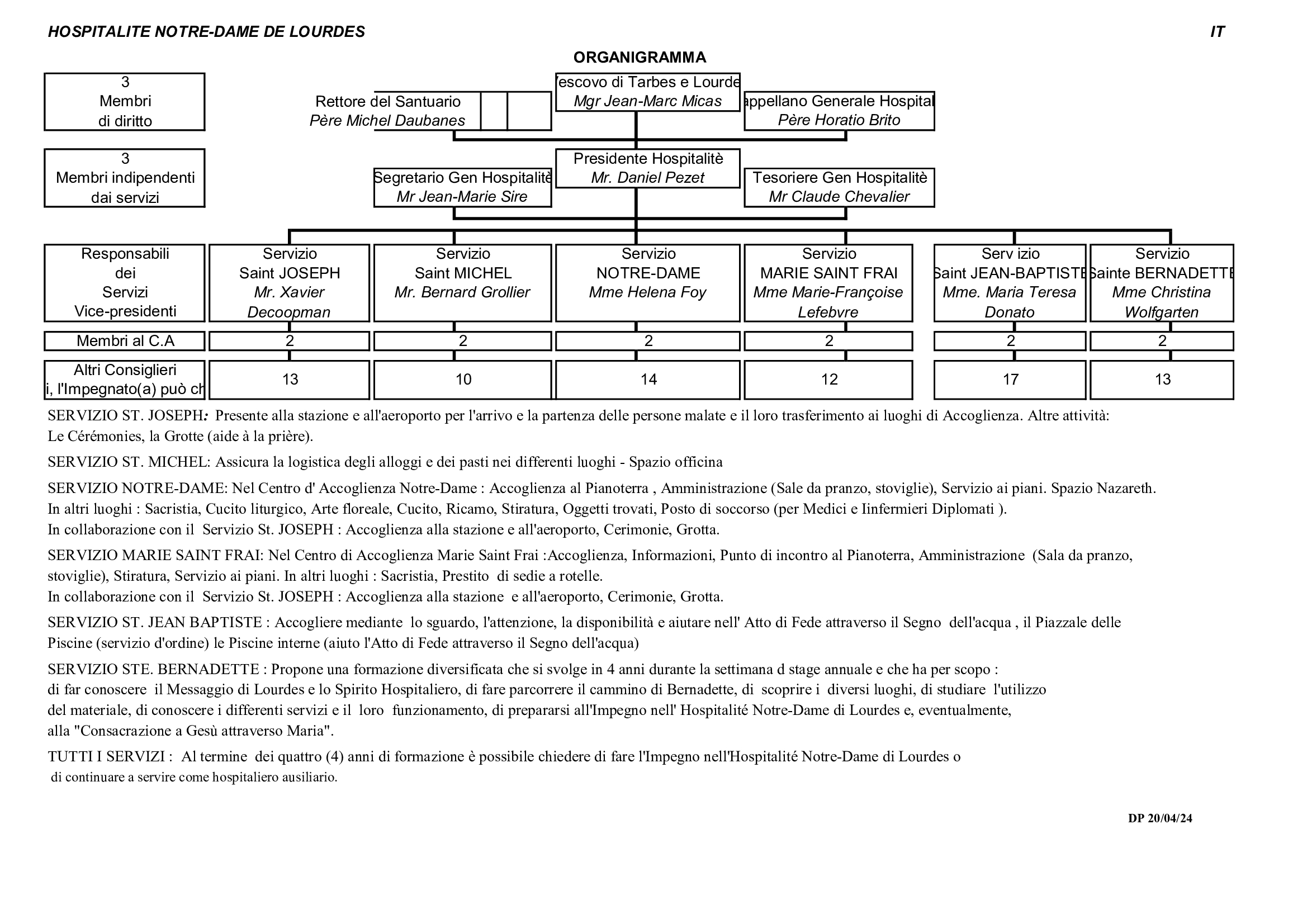
| Daniel PEZET | Président |
| Jean-Marie SIRE | Secrétaire Général |
| Claude CHEVALIER | Trésorier Général |
| Maria Teresa DONATO | Responsable du service Saint Jean Baptiste |
| Xavier DECOOPMAN | Responsable du service Saint Joseph |
| Christina WOLFGARTEN | Responsable du service Sainte Bernadette |
| Helena FOY | Responsable du service Notre Dame |
| Marie-Françoise LEFEBVRE | Responsable du service Saint Frai |
| Bernard GROLLIER | Responsable du service Saint Michel |
Organigramme
italian
Français
English (UK)
Espanol
Deutsch
Nederland 
